Chemical Substance - Trehalose

NHPID name:
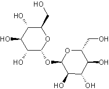
Trehalose

Reference:

Proper name(s):

Common name(s):

Category:
Approved Chemical Name
Structure:
Image of molecular structure representing Trehalose


Schedule 1:

CAS registry number:

Other registry numbers:




Roles

Medicinal

Rationale:

Classified as an NHP under Schedule 1, item 2 (an isolate) of the Natural Health Products Regulations.

Reference:  NNHPD

Non-medicinal

Purposes:
Date modified: