Chemical Substance - Amygdalin
NHPID name:
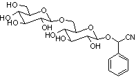
Amygdalin
Reference:
Proper name(s):
Common name(s):
Category:
Approved Chemical Name
Structure:
Schedule 1:
CAS registry number:
Other registry numbers:
Source material:
- Crataegus laevigata ( Parts: Leaf )
- Malus domestica ( Parts: Seed )
- Perilla frutescens ( Parts: Leaf )
- Prunus armeniaca ( Parts: Seed )
- Prunus domestica ( Parts: Seed )
- Prunus persica ( Parts: Leaf )
- Prunus persica ( Parts: Seed )
Roles
Medicinal
Rationale:
Classified as an NHP, under Schedule 1, item 2 (an isolate) of the Natural Health Products Regulations.
Reference: NNHPD