Chemical Substance - Ursolic acid
NHPID name:
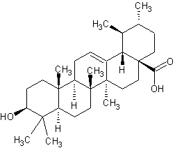
Ursolic acid
Reference:
Proper name(s):
Common name(s):
Category:
Approved Chemical Name
Structure:
Schedule 1:
CAS registry number:
Source material:
- Arctostaphylos uva-ursi ( Parts: Leaf )
- Eriobotrya japonica ( Parts: Fruit )
- Eriobotrya japonica ( Parts: Leaf )
- Ocimum tenuiflorum ( Parts: Leaf )
- Prunella vulgaris ( Parts: Whole plant )
- Prunus africana ( Parts: Stem bark )
- Prunus mume ( Parts: Fruit )
- Rosmarinus officinalis ( Parts: Whole plant )
Roles
Medicinal
Rationale:
Classified as an NHP under Schedule 1, item 2 (an isolate) of the Natural Health Products Regulations
Reference: NNHPDNon-medicinal
Purposes:
Restrictions:
General:
Reference: